|
Reduced
order models consisting of one, two or several coupled Ordinary
Differential Equations are often used to understand the behavior of
electrostatically actuated devices when three-dimensional or even
detailed two-dimensional models are too computationally intensive.
These systems of ODEs are solved in Matlab, giving useful results
that explain the general behavior of devices.
1D
model of Micromachined Microwave Switch
Jan
30, 1997
The
micromachined switch has great potential for microwave applications
due to its extremely low intermodulation distortion and IC backend
technology compatibility. In the past, the switch has been modeled as
a parallel plate capacitor attached to a linear spring at static
equilibrium. 3D finite element simulations have been used to examine
more detailed geometrical effects but are computationally expensive
and mostly limited to static or quasi-static analyses. We have
formulated a non-linear dynamic lumped model which models the support
cantilevers and membrane separately and includes the effects of
inertia, viscoelasticity, the external actuating circuit and residual
stress. Parameter extraction for the lumped model from electrical
measurements is described. Scaling properties for the geometrical
design of the switch are analyzed.
The
modern design and performance optimization of micromachined switches
deviates significantly from the simple geometry of cantilevers. The
electrostatic force on the top diaphragm is so inhomogeneous that the
approximation of a thin diaphragm anchored at the periphery under
constant pressure is not accurate. It is more accurate and scalable
to formulate the lumped model as a rigid diaphragm suspended above a
ground plate by two cantilevers. The following figure shows the
various geometrical parameters in the lumped model.

This
switch is controlled by an actuating circuit. A simple configuration
is shown below.

The
equation of motion of the center of the gap can be approximated by

The
first term on the left describes the total downward electrostatic
force acting on the diaphragm. The second term describes the upward
force exerted by the cantilevers and is valid when the vertical
deflection is less than 30% of the cantilever length. The third term
captures the effects of energy loss through cyclical plastic
deformation, molecular friction and the viscosity of air via a
viscoelasticity coefficient. The damping effect will reduce switch
oscillation especially during switching off.
The
performance of the switch through two on-off cycles is shown below.
The turn-on (closing of switch) response is strongly influenced by
the position and direction of the diaphragm during its preceding
turn-off oscillation.

The
two material parameters required by the model are the modulus of
elasticity, E, and the viscoelasticity constant, n. Values of E for
certain thin films can be measured but n is very difficult to
determine. Since it is relatively easy to control R and Vsrc,
parameter extraction can be accomplished by a least-squares fitting
of the simulated transient characteristics to measurements with
varying R and Vsrc. The following figure shows the turn-on time as a
function of Vsrc for different values of E.

After
the material parameters have been determined, the model can be used
to perform scaling studies of the geometry for performance
optimization. The variation of switching times as a function of
diaphragm radius is shown below.


2D
model of micromachined RF switch
Feb
11, 1997
The
1-D model of the micromachined RF switch is insufficient to capture
some second-order effects. Here we describe a quasi-2D model of the
switch that allows us to simulate the effects of distributed material
parameters, and contact characteristics.
The
switch was discretized into 90 segments -- 54 segments for the
center diaphragm and 18 segments each for the cantilevers. The
cantilevers are 30um long and 5um wide whereas the diaphragm is 100um
long and 200um wide. The electrostatic force, with a correction term
for fringing effects, was applied only to the diaphragm. The
animation shows one ON-OFF cycle of the switch which takes about 5us.

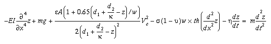
The
equation of motion of the cantilever and diaphragm can be
approximated by

The
first term on the left describes the flexure of a beam whereas the
second term is gravity. The third term is the electrostatic force
with the fringing correction term. Residual stress is included in the
fourth term while damping is accounted for in the fifth term.
The
quasi-2D distributed model allows for variations in width,
thickness, and material parameters along the cantilevers and
diaphragm. Residual stress can also be included as an additional
stiffness constant. Stiction on contact is modeled as a barrier force
that prevents the diaphragm from lifting off if the lifting force is
insufficiently large.
The
contact of the diaphragm with the bottom dielectric layer is modeled
as a perfectly inelastic collision -- the part of the diaphragm that
hits the dielectric layer stops immediately and completely. Thus, a
shock wave is generated that propagates through the cantilevers to
the side supports.
Further
work is required to integrate the 1-D, quasi-2D, quasi-3D and
full-3D models into a consistent hierarchical simulation. The
viscoelasticity, and residual stress constants need to be verified.

|